viernes, 4 de enero de 2013

ECUACIONES DIFERENCIALES RESUELTAS

1 ECUACIONES DIFERENCIALES DEL TIPO VARIABLES SEPARADAS

Tipos y resolución
1.     Variables Canónicas
Forma canónica:




Cualquiera de las funciones puede ser una constante o la unidad.

Pasos:
·        Poner un diferencial en cada miembro
·        En un miembro todas las xdx; en el otro miembro todas las ydy.
Las diferenciales han de estar siempre multiplicando y “son las que mandan”


OBSERVACION
No podrá ser nunca del tipo VS una ecuación en la que el diferencial esté multiplicado por una  función sólo de x  más una función sólo de y

1 Integrar la siguiente ecuación diferencial







  _________________________________________________________________
   2 Hallar la curva integral de la ecuación 

 


que pasa por el punto ( 1,1 )

Resolución:




2 RESOLUCIÓN DE ECUACIONES DIFERENCIALES HOMOGÉNEAS


Cualquiera de las funciones puede ser una constante o la unidad


______________________________________________________________

 

3 RESOLUCIÓN DE ECUACIONES DIFERENCIALES EXACTAS

 

 3 Forma Canónica:

 



 

Cumplen la condición:

 

 

 

 

3.1 Resolver la siguiente ecuación diferencial:

 


3.2 Resolver la siguiente ecuación diferencial:

 

 

 

 

 

 

Resolución:

 

 

 

 

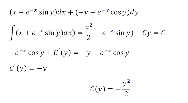
  3.3 Resolver la siguiente ecuación diferencial:


 

Resolución:

 

 

3.4 Resolver la siguiente ecuación diferencial

 

  Resolución:

 Nota: Este enunciado se propuso para su resolución en el examen de junio de 1978 de segundo curso de la licenciatura en Ciencias Económicas Cálculo II

 

 

4  ECUACIONES DIFERENCIALES EXACTAS FACTOR INTEGRANTE

   

  

 

FACTOR INTEGRANTE

 

 

 

 

 

   

Resolución:

 

  

 

 

 

 

 

 

5  ECUACIONES DIFERENCIALES LINEALES

 

  ____________________________________________________

 

 

Resolución 










  6  ECUACIONES DIFERENCIALES DE BERNOULLI

  

 

 

 

 

 

 

 

 

 

 

 

 

 

 






7 ECUACIONES DIFERENCIALES HOMOGENEAS DE GRADO N

 

 

 

 

 

 

 

 

 

 

 

 

 

 

 

 

8 ECUACIONES DIFERENCIALES DE LOS DISTINTOS TIPOS

    (continúa...) 

 


 


 

 


 

 


 

No hay comentarios: