![]() |
| Punto de silla |
En esta entrada se aborda la teoría y práctica de las dependencias lineal y funcional, con el objeto de abordar los conceptos de determinante funcional Wronskiano, Hessiano y Jacobiano para el estudio de los extremos de funciones libres y condicionados, máximos, mínimos, puntos de ensilladura y quasimáximos y mínimos con las condiciones necesaria y suficiente para su existencia. Para ello, como introducción al tema, partimos de la fórmula de Taylor para mas de una variable con el objetivo de generalizar dicha fórmula y seguir, punto a punto lo anteriormente expuesto, terminado con una breve colección de problemas resultos.
1. FÓRMULA DE TAYLOR, DOS VARIABLES
Sea z = f (x ,y ) definida en un entorno (x0 y0 ) Si incrementamos x0 en Dx = h e y0 en Dy = k pasamos a ( x0 + h, y0 + k ). Por tanto, un punto ( x, y ) del entorno lo podemos expresar por ( x + th, y + tk ) con 0 ≤ t ≤ 1
De esta manera f ( x
,y ) = f ( t ) es función de una sola variable y podemos aplicar la
fórmula de Mc Laurin
Y las sucesivas, responderían al operador simbólico:
Constituye el desarrollo de Taylor para dos variables
Esta fórmula se podría generalizar para n variables
En el caso de ( x0 ,y0 ) = ( 0 ,0 ) tendríamos el desarrollo de
Mc Laurin
2. DEPENDENCIA LINEAL
Dadas n funciones de una sola variable x se dirá que son linealmente dependientes si existe alguna combinación lineal de las mismas de coeficientes no todos nulos que sea identicamente nula.
Este determinante formado por las n funciones y sus derivadas sucesivas hasta el orden n-1 se llama WRONSKIANO.
En este caso, para hallar esta dependencia al solucionar el sistema, recuérdese que si el rango fuera n-1 los valores dependerían del valor arbitario que dieramos a uno de los coeficientes de la combinación lineal y si el rango fuera n-2 dependería de dos de ellos, etcétera.
En caso contrario se diría que esas funciones son linealmente independientes.
Dadas n funciones de n
variables, diremos que son funcionalmente dependientes si esxiste una función
de las mismas: G (f1 f2 …
f
La condición necesaria y suficiente para que n funciones sean linealmente dependientes es que su Wronskiano sea idénticamente nulo.
En este caso, para hallar esta dependencia al solucionar el sistema, recuérdese que si el rango fuera n-1 los valores dependerían del valor arbitario que dieramos a uno de los coeficientes de la combinación lineal y si el rango fuera n-2 dependería de dos de ellos, etcétera.
En caso contrario se diría que esas funciones son linealmente independientes.
3. DEPENDENCIA FUNCIONAL
Dadas n funciones de n
variables, diremos que son funcionalmente dependientes si esxiste una función
de las mismas: G (f1 f2 …
fn) que sea idénticamente nula, es decir que sea cero,
independientemente del valor que demos a las variables.
Téngase presente, sin embargo, que no incluimos en la definición el caso de que G consista en multiplicar por cero cada función de las dadas
Para que haya soluciones diferentes de la trivial (todo ceros) es preciso que el determkinante del sistema sea idénticamente nulo. Cambiando filas por columnas se obtiene la expresión siguiente a la que damos el nombre de DETERMINANTE JACOBIANO
La condición necesaria y suficiente para que n funciones de n va-riables sea funcionalmente independientes es que su Jacobiano sea idénticamente nulo. El número de funciones menos el rango del Jacobiano nos da el número de relaciones de dependencia.
4. EXTREMOS LIBRES
Extremo de una funcion de dos variables
Se dice que una función f (x
y) iene un máximo o un mínimo en el
punto (x0
y0) si para todo
punto (x y) de un entorno suyo se
verifica:
➤Condición Necesaria:
Si mantenemos y0 constante, f (x y) solo depende de x ;
y representa la intersección de la superficie f (x y) con un plano paralelo X0Z
. En estas condiciones, para que en este plano hubiera un máximo o un
mínimo para x x = x0 , la
derivada en este punto debería ser nula.
Todo esto significa que f’x (x0 yy0
) = 0
Análogamente razonariamos que f’y
(x0 yy0 ) = 0
➤ Condición Suficiente:
Si escribimos la
fórmula de Taylor como sigue:
resulta que , como por
la condición necesaria, el primer sumando del desarrollo es nulo, el signo de
la diferencia, es decir, lo que nos indicará si hay máximo o mínimo, depende
unicamente de:
Ya
que si h y k son infinitésimos los otros sumandos contienen infinitésimos de
orden superior a los del segundo, pudiendo pues prescindir de ellos para esta
cuestión.
Hagamos
entonces en (1):
Y como k2 > 0 estudiemos el signo del trinomio au2
+ bu + c
Estas tres posibilidades dependen pues de las raices
del trinomio:
Y por tanto del
discriminante
D = b2 - 4
ac
Pero volviendo a la notación original :
Donde la expresión entre paréntesis es precisamente el
desarrollo del
Por tanto si es D = -4 H
resumiendo las posibilidades apuntadas:

Máximo Punto de ensilladura Quasi Mínimo
5. EXTREMOS CONDICIONADOS
Se llama extremo condicionado de una función z = f (x,y) al máximo o mínimo de la
misma, cuando las variables están ligadas entre si por una ecuación g
( x,y ) = 0, llamada
de enlace, ligadura o condición. Cuando la resolución sea imposible o
muy laboriosa
utilizaremos los multiplicadores de Lagrange que pasamos a exponer a continuación:
f’x
= f’y por la condición
necesaria:
Si multiplicamos la segunda ecuación por λ y le sumamos la primera tendremos:
Que es el mismo que
obtendriamos aplicando la condición necesaria a la llamada función de Lagrange
Podemos expresar pues
que la condición necesaria de
extremos condicionados es:
Resolviendo el sistema
obtendriamos el valor de lambda y el
de los puntos ( x0, y0 ) en los que puede haber máximo o
mínimo. La condición suficiene vendría dada por signo de d2F (solo en xy
)
Donde habrá que tener en cuenta que dx y dy están relacionados por
Se despeja un
diferencial y se substituye en d2F
con lo que el signo queda claro.
6. PROBLEMAS RESUELTOS
1. Sea dz= P(x y) dx + Q(x y) dy. Sabiendo que entre P y Q existe una dependencia funcional, hallar el Hessiano de la función 2
Pero si hay dependencia funcional, entonces es J=0
Que, si son funciones dependientes es condición necesaria y
suficiente:
2. Analizar los extremos de la función: z = x3 – 4x2 +
2xy – y2
Ojo por error copiadol prmer término del Hessiano como 6x-2 debe decir 6x-8
3. Determinar las caOJOntidades x e y de dos bienes de
precios 2 y 3 u.m. para que con una
renta igual a 100 u.m. la utilidad, dada por la función U=xy sea máxima.
4. Dadas las funciones:
Hallar p para que sean funcionalmente independientes y la relación.
6. Desarrollar la función:
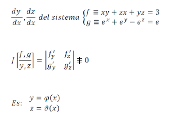
7.Dadas
las funciones:
8.Dadas
las funciones:
9. Hallar en el punto ( 1, 1, 1 )
La condición necesaria y suficiente para que n funciones de n va-riables sea funcionalmente independientes es que su Jacobiano sea idénticamente nulo. El número de funciones menos el rango del Jacobiano nos da el número de relaciones de dependencia.
4. EXTREMOS LIBRES
Extremo de una funcion de dos variables
Y como k2 > 0 estudiemos el signo del trinomio au2
+ bu + cExtremo de una funcion de dos variables
Se dice que una función f (x
y) iene un máximo o un mínimo en el
punto (x0
y0) si para todo
punto (x y) de un entorno suyo se
verifica:
➤Condición Necesaria:
Si mantenemos y0 constante, f (x y) solo depende de x ;
y representa la intersección de la superficie f (x y) con un plano paralelo X0Z
. En estas condiciones, para que en este plano hubiera un máximo o un
mínimo para x x = x0 , la
derivada en este punto debería ser nula.
Todo esto significa que f’x (x0 yy0
) = 0
Análogamente razonariamos que f’y
(x0 yy0 ) = 0
➤ Condición Suficiente:
Si escribimos la
fórmula de Taylor como sigue:
resulta que , como por
la condición necesaria, el primer sumando del desarrollo es nulo, el signo de
la diferencia, es decir, lo que nos indicará si hay máximo o mínimo, depende
unicamente de:
Ya
que si h y k son infinitésimos los otros sumandos contienen infinitésimos de
orden superior a los del segundo, pudiendo pues prescindir de ellos para esta
cuestión.
Hagamos
entonces en (1):
D = b2 - 4 ac
Pero volviendo a la notación original :
Donde la expresión entre paréntesis es precisamente el desarrollo del
Por tanto si es D = -4 H
resumiendo las posibilidades apuntadas:

Máximo Punto de ensilladura Quasi Mínimo

5. EXTREMOS CONDICIONADOS
Se llama extremo condicionado de una función z = f (x,y) al máximo o mínimo de la
misma, cuando las variables están ligadas entre si por una ecuación g
( x,y ) = 0, llamada
de enlace, ligadura o condición. Cuando la resolución sea imposible o
muy laboriosa
utilizaremos los multiplicadores de Lagrange que pasamos a exponer a continuación:
f’x
= f’y por la condición
necesaria:
Si multiplicamos la segunda ecuación por λ y le sumamos la primera tendremos:
Que es el mismo que
obtendriamos aplicando la condición necesaria a la llamada función de Lagrange
Podemos expresar pues
que la condición necesaria de
extremos condicionados es:
Resolviendo el sistema
obtendriamos el valor de lambda y el
de los puntos ( x0, y0 ) en los que puede haber máximo o
mínimo. La condición suficiene vendría dada por signo de d2F (solo en xy
)
Donde habrá que tener en cuenta que dx y dy están relacionados por
Se despeja un
diferencial y se substituye en d2F
con lo que el signo queda claro.
6. PROBLEMAS RESUELTOS
1. Sea dz= P(x y) dx + Q(x y) dy. Sabiendo que entre P y Q existe una dependencia funcional, hallar el Hessiano de la función 2
Pero si hay dependencia funcional, entonces es J=0
Que, si son funciones dependientes es condición necesaria y
suficiente:
2. Analizar los extremos de la función: z = x3 – 4x2 +
2xy – y2
Ojo por error copiadol prmer término del Hessiano como 6x-2 debe decir 6x-8
3. Determinar las caOJOntidades x e y de dos bienes de
precios 2 y 3 u.m. para que con una
renta igual a 100 u.m. la utilidad, dada por la función U=xy sea máxima.
4. Dadas las funciones:
Hallar p para que sean funcionalmente independientes y la relación.
6. Desarrollar la función:
7.Dadas
las funciones:
8.Dadas
las funciones:
9. Hallar en el punto ( 1, 1, 1 )
Si multiplicamos la segunda ecuación por λ y le sumamos la primera tendremos:
Que es el mismo que obtendriamos aplicando la condición necesaria a la llamada función de Lagrange
Podemos expresar pues que la condición necesaria de extremos condicionados es:
Resolviendo el sistema
obtendriamos el valor de lambda y el
de los puntos ( x0, y0 ) en los que puede haber máximo o
mínimo. La condición suficiene vendría dada por signo de d2F (solo en xy
)
Donde habrá que tener en cuenta que dx y dy están relacionados por
Se despeja un
diferencial y se substituye en d2F
con lo que el signo queda claro.
6. PROBLEMAS RESUELTOS
1. Sea dz= P(x y) dx + Q(x y) dy. Sabiendo que entre P y Q existe una dependencia funcional, hallar el Hessiano de la función 2
Pero si hay dependencia funcional, entonces es J=0
Que, si son funciones dependientes es condición necesaria y
suficiente:
2. Analizar los extremos de la función: z = x3 – 4x2 +
2xy – y2
Ojo por error copiadol prmer término del Hessiano como 6x-2 debe decir 6x-8
3. Determinar las caOJOntidades x e y de dos bienes de
precios 2 y 3 u.m. para que con una
renta igual a 100 u.m. la utilidad, dada por la función U=xy sea máxima.
4. Dadas las funciones:
Hallar p para que sean funcionalmente independientes y la relación.
6. Desarrollar la función:
7.Dadas
las funciones:
8.Dadas
las funciones:
9. Hallar en el punto ( 1, 1, 1 )
6. PROBLEMAS RESUELTOS
1. Sea dz= P(x y) dx + Q(x y) dy. Sabiendo que entre P y Q existe una dependencia funcional, hallar el Hessiano de la función 2
Pero si hay dependencia funcional, entonces es J=0
Que, si son funciones dependientes es condición necesaria y
suficiente:
2. Analizar los extremos de la función: z = x3 – 4x2 +
2xy – y2
Ojo por error copiadol prmer término del Hessiano como 6x-2 debe decir 6x-8
3. Determinar las caOJOntidades x e y de dos bienes de
precios 2 y 3 u.m. para que con una
renta igual a 100 u.m. la utilidad, dada por la función U=xy sea máxima.
4. Dadas las funciones:
Hallar p para que sean funcionalmente independientes y la relación.
6. Desarrollar la función:
7.Dadas
las funciones:
8.Dadas
las funciones:
9. Hallar en el punto ( 1, 1, 1 )
Pero si hay dependencia funcional, entonces es J=0
Que, si son funciones dependientes es condición necesaria y
suficiente:
2. Analizar los extremos de la función: z = x3 – 4x2 +
2xy – y2
Ojo por error copiadol prmer término del Hessiano como 6x-2 debe decir 6x-8
3. Determinar las caOJOntidades x e y de dos bienes de precios 2 y 3 u.m. para que con una renta igual a 100 u.m. la utilidad, dada por la función U=xy sea máxima.
4. Dadas las funciones:
Hallar p para que sean funcionalmente independientes y la relación.














































